13 年
手机商铺
公司新闻/正文
1322 人阅读发布时间:2025-06-26 11:46


本研究采用共沉淀与浸渍法成功制备了以Ruddlesden-Popper(RP)型Sr3Fe2O7−δ钙钛矿氧化物为载体的钯基催化剂,用于低温甲烷高效催化燃烧。要实现Sr3Fe2O7−δ基钙钛矿催化剂上甲烷持续高效燃烧,关键在于抑制负载活性钯物种的RP型Sr3Fe2O7−δ钙钛矿结构转变及其热反应过程。
研究发现,在PdO/Sr3Fe2O7−δ/α-Al2O3复合催化剂体系中引入α-Al2O3载体材料,可显著提升催化剂表面氧物种浓度与氧空位密度,并有效增强复合氧化物催化剂的结构稳定性。在制备的系列催化剂中,13 wt% PdO/16 wt% Sr3Fe2O7−δ/α-Al2O3催化剂在300℃低温条件下展现出最优的甲烷完全燃烧催化活性。

图1。
(a) Sr3Fe2O7的X射线粉末衍射数据Rietveld精修结果:白色符号表示实测衍射谱,红色实线为计算谱,蓝色实线为强度差值;
(b) Sr3Fe2O7与SrFeO2.75的晶体结构示意图。其中绿色圆球代表Sr阳离子,红色圆球代表位于FeO6八面体顶角的氧阴离子。

图2 不同催化剂的XRD图谱:
(a) 10wt%PdO/SrFeO3−δ,
(b) 10wt%PdO/α-Al2O3,
(c) 16wt%Sr3Fe2O7−δ/α-Al2O3,
(d) 10wt%PdO/16wt%Sr3Fe2O7−δ/α-Al2O3。

图3。
(a) NH3-TPD和
(b) CO2-TPD谱图(测试样品:α-Al2O3、10wt%PdO/α-Al2O3、10wt%PdO/SrFeO3−δ及10wt%PdO/16wt%Sr3Fe2O7−δ/α-Al2O3);
(c) H2-TPR谱图(测试样品:α-Al2O3、Sr3Fe2O7、16wt%Sr3Fe2O7−δ/α-Al2O3、10wt%PdO/α-Al2O3、10wt%PdO/SrFeO3−δ与10wt%PdO/16wt%Sr3Fe2O7−δ/α-Al2O3);
(d) O2-TPD谱图(测试样品:Sr3Fe2O7、16wt%Sr3Fe2O7−δ/α-Al2O3、10wt%PdO/SrFeO3−δ及10wt%PdO/16wt%Sr3Fe2O7−δ/α-Al2O3)。

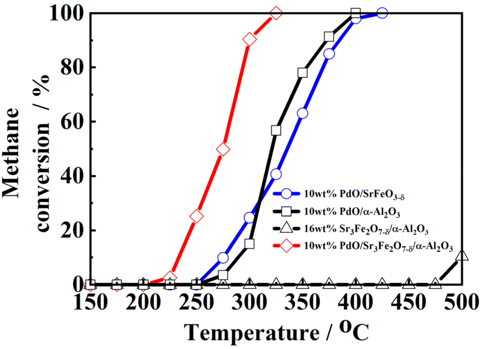
图4 甲烷氧化反应的温度依赖性:
(a) 10wt%PdO/SrFeO3−δ,
(b) 10wt%PdO/α-Al2O3,
(c) 16wt%Sr3Fe2O7−δ/α-Al2O3,
(d) 10wt%PdO/16wt%Sr3Fe2O7−δ/α-Al2O3催化剂。

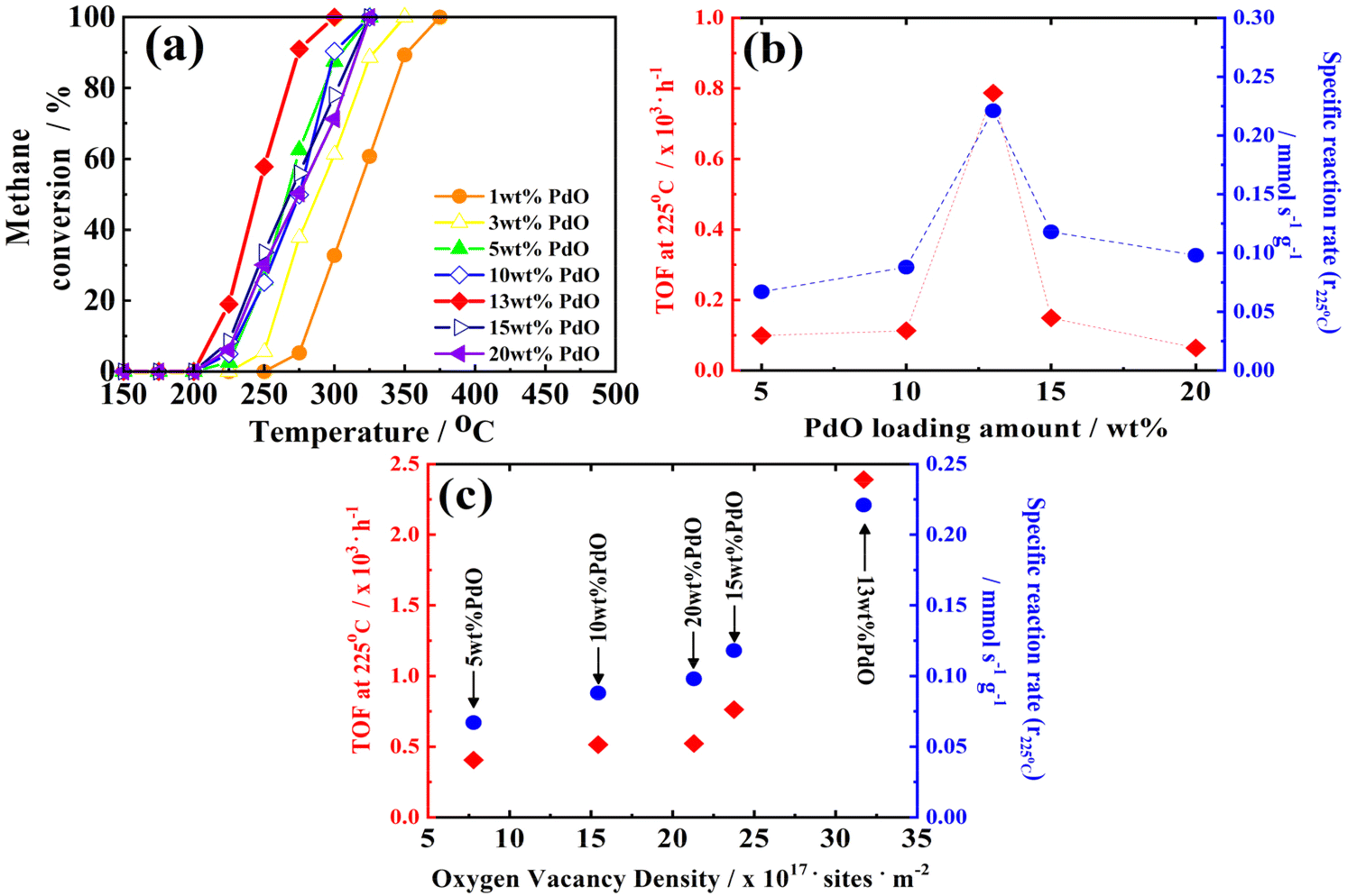
图5。
(a) 不同PdO负载量(α = 1、3、5、10、13、15、20)的αwt%PdO/16wt%Sr3Fe2O7−δ/α-Al2O3催化剂的XRD图谱;
(b) 不同PdO负载量(α = 5、10、13、15、20)的αwt%PdO/16wt%Sr3Fe2O7−δ/α-Al2O3催化剂的O2-TPD谱图。

图6。
(a) 不同PdO负载量(α=1、3、5、10、13、15、20)的αwt%PdO/16wt%Sr3Fe2O7−δ/α-Al2O3催化剂上甲烷氧化反应的温度依赖性曲线;
(b) 225°C时,不同PdO负载量(α=5、10、13、15、20)的αwt%PdO/16wt%Sr3Fe2O7−δ/α-Al2O3催化剂上甲烷氧化的比反应速率(r225°C)和转换频率(TOF)与PdO活性位点密度的相关性;
(c) 比反应速率和TOF与基于O2-TPD分析得出的氧空位密度的相关性(测试催化剂:α=5、10、13、15、20的αwt%PdO/16wt%Sr3Fe2O7−δ/α-Al2O3)。
我们成功制备了以Sr3Fe2O7−δ为助催化剂的αwt%PdO/16wt%Sr3Fe2O7−δ/α-Al2O3复合氧化物催化剂体系。该体系仅产生氧空位而不破坏Sr3Fe2O7的晶体结构,通过引入α-Al2O3载体显著提升了催化剂的热稳定性,使其在600℃热处理后仍能保持结构完整性。值得注意的是,不含PdO活性物种的16wt%Sr3Fe2O7−δ/α-Al2O3助催化剂完全不具有甲烷氧化活性;而未采用α-Al2O3载体的10wt%PdO/SrFeO3−δ催化剂,其活性也显著低于10wt%PdO/16wt%Sr3Fe2O7−δ/α-Al2O3复合体系。这些对比实验充分证实,兼具高氧空位密度和丰富表面氧物种的PdO/Sr3Fe2O7−δ/α-Al2O3复合氧化物催化剂具有最优异的性能。
经优化PdO负载量后,13wt%PdO/16wt%Sr3Fe2O7−δ/α-Al2O3催化剂在300℃的低温条件下即可实现甲烷完全燃烧,展现出最高的催化活性。本研究还揭示:即使在3wt%的低PdO负载量下,Sr3Fe2O7−δ钙钛矿氧化物作为促进剂仍能在低温甲烷燃烧中发挥关键作用,这为开发高效廉价催化剂提供了新思路。


LetPub重磅推出4大核心投稿套餐,覆盖不同科研投稿场景


📢LetPub结合15年SCI论文编辑服务经验,推出四大投稿套餐,从语言润色、中译英翻译、行文逻辑结构优化、专家预审、材料准备到投稿系统指导,一站式支持您顺利投出高质量稿件!
服务详情见网址:www.letpub.com.cn/index.php?page=submission_packages_overview